近日,国产无码
力学与工程科学系杨卫明教授课题组与西安工程大学、澳洲国立大学、奥地利科学院等国内外研究人员合作研究,建立了金属玻璃结构与力学性能的关系,这对指导设计力学性能优异的新型金属玻璃材料具有重要意义。研究结果以“Structural homology of the strength for metallic glasses”为题发表在国内卓越期刊Journal of Materials Science & Technology (工程技术类TOP期刊,中科院一区,IF=8.067)。
金属玻璃是一类结构长程无序、短程有序的亚稳态材料,具有高强度、耐磨、耐腐蚀等优异性能,自发现以来一直受到力学、材料、物理等领域研究人员的广泛关注。因不同于晶体材料的周期性结构,金属玻璃结构与性能的关系长期困扰非晶领域研究人员,是该领域的关键科学问题和研究难点之一。
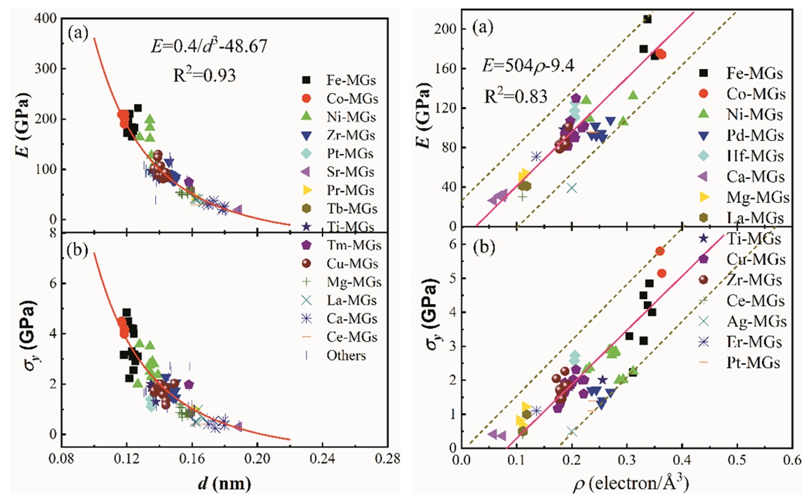
研究人员从金属玻璃独特的原子排布特征出发,将其无序结构近似为金属双原子之间的相互作用、基于双体势函数和费米球-布里渊区的相互关系建立了理论模型,得到了金属玻璃屈服强度σy、杨氏模量E与金属玻璃平均原子半径d及价电子态密度ρ之间的关系,如下图所示。该研究结果得到了同行评审专家的充分肯定(“The present work is of interest to the field of MGs and has important implications for understanding structure-property relationships in disordered systems”)。

左图为金属玻璃平均原子半径与力学性能的关系;右图为价电子密度与力学性能的关系
此项研究工作得到国家自然科学基金面上项目(No.51871237)、国家自然科学基金重点项目(No.51631003)、徐州市重点研发计划(No. KC17015)和欧盟高级研究资助委员会(ERC-2013-ADG-340025)的资助。